Entwicklung eines umweltverträglichen Antibiotikums

Mikroverunreinigungen durch Pharmazeutika und andere Chemikalien werden mittlerweile als Risiko für die Wasserqualität und für ein nachhaltiges Management der Wasserressourcen wahrgenommen.

Beispielsubstanz
Darstellung der computergestützten Analyse der Bindungseigenschaften einer Beispielsubstanz (Betablocker Metoprolol) an die Zielstruktur. Kreisförmig unterlegt sind Aminosäuren der Zielstruktur. Die grünen und violetten Linien markieren Wechselwirkungen (z. B. Wasserstoffbrückenbindungen) zwischen Substanz und Zielstruktur.
Download
Docking
Durch Docking berechnete Wechselwirkungen (gestrichelte grüne Linien) des Antibiotikums Ciprofloxacin (Molekülgerüst: gelb hervorgehobene Atome) mit DNA-Gyrase/DNA (rote Linien und graue Linien)
Download
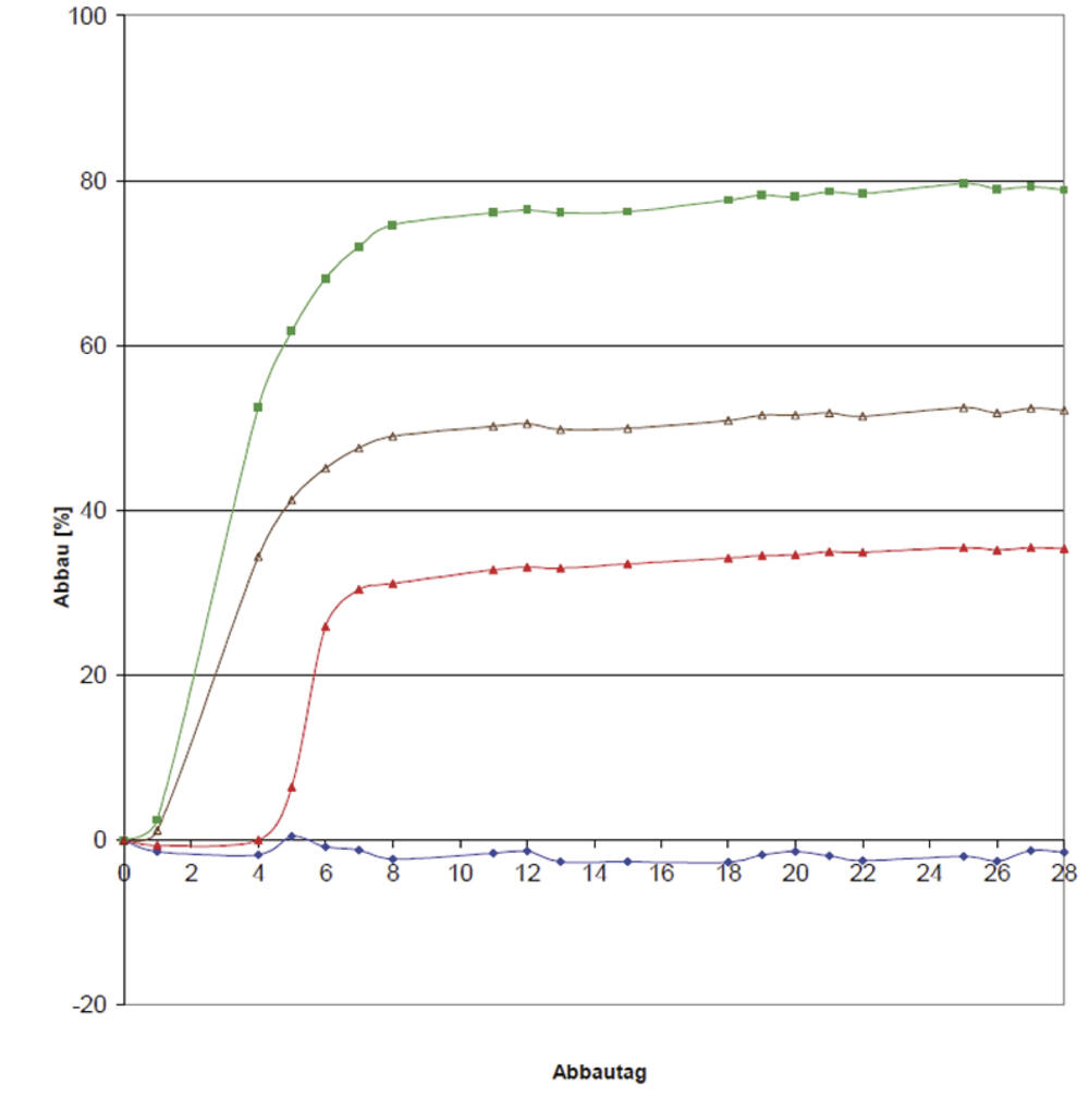
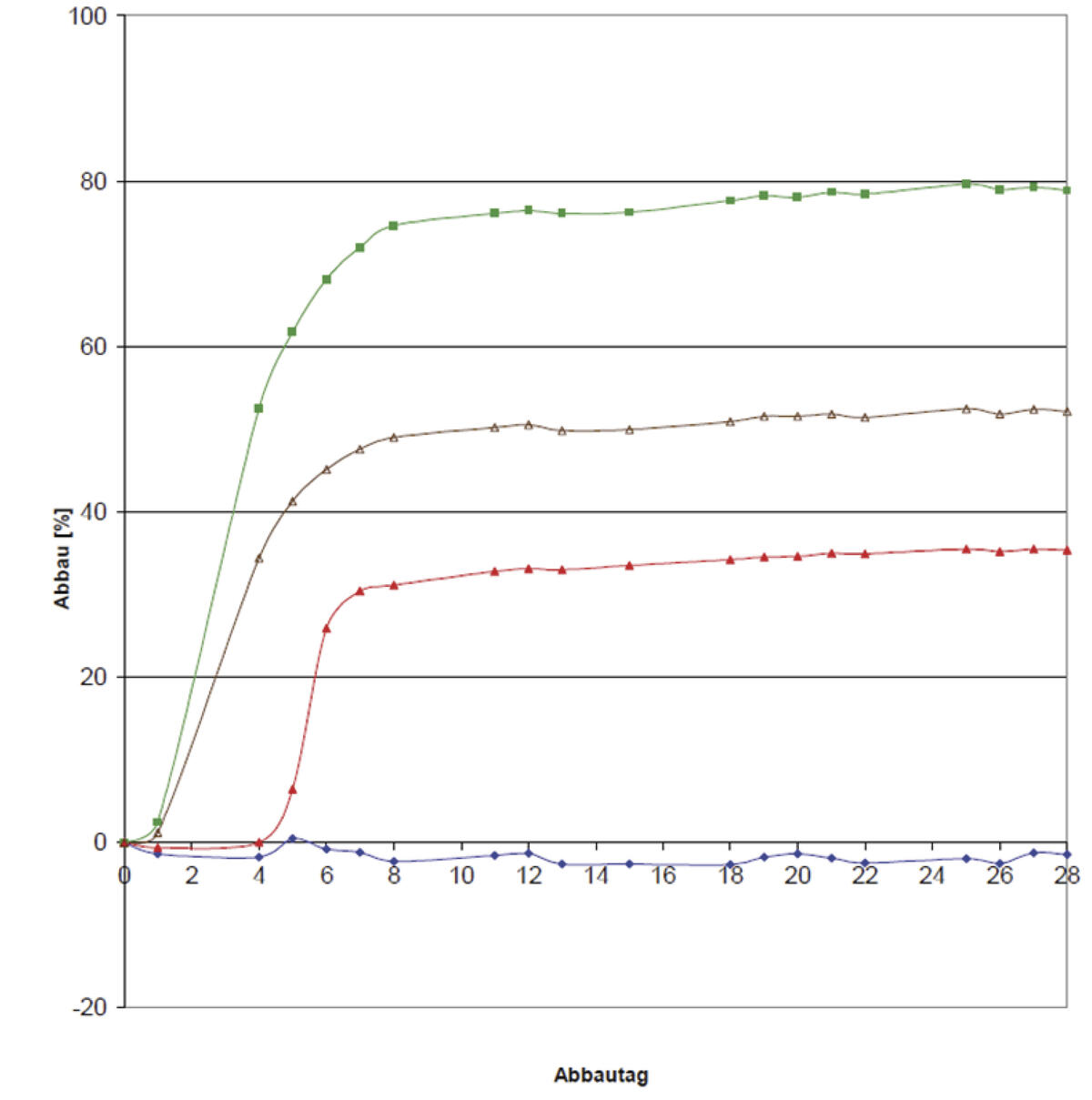
Abbaubarkeit
Biologische Abbaubarkeit von Ciprofloxacin im geschlossenen Flaschentest; Blau: Ciprofloxacin; rot: Toxizitätskontrolle (gemessen); braun: Toxizitätskontrolle (berechnet); grün: Qualitätskontrolle
Download
Zielstruktur
Modellierung des molekularen Aufbaus der bakteriellen Zielstruktur (DNA-Gyrase von Staphylococcus aureus) des Antibiotikums Ciprofloxacin. Das Antibiotikum verhindert die enzymatische Entwindung der bakteriellen DNA und stoppt somit das Wachstum der Bakterien.
Download

Eines der Hauptanliegen sind Antibiotika. Antibiotika werden zur Behandlung von Infektionen mit pathogenen Bakterien genutzt. Übermäßige Nutzung von nicht abbaubaren Antibiotika durch menschliche Patienten oder bei Nutztieren könnte zur Akkumulation im Wasser führen und anschließend die Resistenzentwicklung fördern, wenn große Areale mit relevanten Bakterien ausreichende Wirkstoffkonzentrationen von Antibiotika haben und somit ständigen Selektionsdruck auf die Bakterien ausüben. Daher wäre es attraktiv, eine neue Generation von biologisch abbaubaren Antibiotika zu entwickeln, die rasch und möglichst vollständig in Kläranlagen mineralisiert werden. Moderne computergestützte Verfahren aus dem Bereich der Chemie-Informatik ermöglichen einerseits eine bessere Abschätzung der möglichen Risiken der Einträge von Arzneimittelwirkstoffen und der aus ihnen gebildeten Produkte. Andererseits kann dieses Wissen aber auch für die Entwicklung neuer Wirkstoffe genutzt werden, um langfristig die Risiken zu reduzieren, die mit dem Eintrag dieser Stoffe in die Umwelt verbunden sind. Im Idealfall führt also die Integration von Umweltaspekten zu einer Verbesserung der Medikamente. Diese verbesserten Medikamente beinhalten auch ein kommerzielles Potential.

Am Institut für Nachhaltige Chemie und Umweltchemie an der Leuphana Universität Lüneburg werden im Rahmen eines von der DBU geförderten Projektes mithilfe von computergestützten Methoden durch gezielte molekulare Strukturveränderungen umweltfreundlichere Varianten von Antibiotika entwickelt, um nachfolgend die durch Antibiotika verursachten Risiken für die Wasserqualität zu reduzieren oder ganz zu vermeiden, indem z.B. ihre biologische Abbaubarkeit in der Umwelt verbessert und/oder die Toxizität von nicht-abbaubaren Metaboliten und Abbauprodukten reduziert wird.

Zum Einsatz kommen einerseits Computermodelle, die anhand der Struktur bestimmte Eigenschaften des Moleküls vorhersagen (QSAR, quantitative Struktur-Aktivität-Beziehungen) und andererseits Computerprogramme, die die Bindung an die Zielstruktur des Pharmazeutikums simulieren und berechnen (Docking) sowie experimentelle Untersuchungen. Diese Vorgehensweise ermöglicht eine Kategorisierung von bereits vorhandenen Wirkstoffen unter Umweltgesichtspunkten und wird zu neuen Antibiotika-Kandidaten führen, die besser an die Zielstruktur im Bakterium binden, so dass möglicherweise Resistenzen gegen das Ausgangsantibiotikum überwunden werden können und die in der Umwelt biologisch inaktiviert und zu unbedenklichen Fragmenten abgebaut werden können.

Sie finden das Projekt auch in unserer Projektdatenbank.

Projektbeteiligte:

Prof. Dr. Klaus Kümmerer

Dr. Christoph Leder

Institut für Nachhaltige Chemie und Umweltchemie

Leuphana Universität Lüneburg

Scharnhorststraße 1 C13.217

D-21335 Lüneburg

04131-677-2893/-2872

klaus.kuemmerer@leuphana.de

christoph.leder@leuphana.de